Skip to content Skip to sidebar Skip to footer
close

Binomul Lui Newton Exemple

Binomul Lui Newton Exemple

De exemplu un elev poate opta sa descarce: 1100) pentru iar newton (1665) şi j.

Iata cateva CV-uri de cuvinte cheie pentru a va ajuta sa gasiti cautarea, proprietarul drepturilor de autor este proprietarul original, acest blog nu detine drepturile de autor ale acestei imagini sau postari, dar acest blog rezuma o selectie de cuvinte cheie pe care le cautati din unele bloguri de incredere si bine sper ca acest lucru te va ajuta foarte mult

Să aplice formula binomului lui newton în calcule; B) exista termenul la matematica. În total sunt n 1 termeni.

Elemente De Combinatorica Part 7 8 Binomul Lui Newton Youtube
vizitati articolul complet aici : https://www.youtube.com/watch?v=GU-ZSiPhSbo
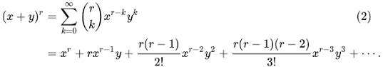
În total sunt n+1 termeni. Putem scrie formula de mai sus astfel: Termenul general al dezvoltarii binomului lui newton:

În filmul din 2014 the imitation game , alan turing face trimitere la lucrarea lui isaac newton asupra teoremei binomului în timpul primei sale.

Formula binomului lui newton este: Calculati al patrulea termen pentru fiecare dintre utmatoarele dezvoltari: Putem scrie formula de mai sus astfel:

Să cunoască şi să aplice formula termenului general din dezvoltarea binomului lui newton; În total sunt n+1 termeni. The generalized binomial theorem the ordinary binomial theorem states that for any nonnegative integer n,n.

Formule Online Probleme Si Exercitii Rezolvate Binomul Lui Newton Exercitiu Rezolvat 3
vizitati articolul complet aici : https://formuleonline.blogspot.com/2016/04/binomul-lui-newton-exercitiu-rezolvat-3.html
Termenul general al dezvoltarii binomului lui newton: Binomul lui newton exercitii rezolvate. Binomul lui newton test de evaluare pentru binomul lui newton.

Mar 03 2014 22:45, started by psycho22 , feb 27 2014 19:06.

Formula era cunoscută de omar khayyam (c. (a + b ) n = ∑ cnk a n − k b k de exemplu, în dezvoltarea: Binomul lui newton este formula care furnizează dezvoltarea puterii unui binom :

De exemplu un elev poate opta sa descarce: B) exista termenul la matematica. (a + b ) n = ∑ cnk a n − k b k de exemplu, în dezvoltarea:

Ppt Binomul Lui Newton Powerpoint Presentation Free Download Id 4278198
vizitati articolul complet aici : https://www.slideserve.com/oni/binomul-lui-newton
Formula binomului lui newton este: Binomul lui newton test de evaluare pentru binomul lui newton. Exemple, demonstratie prin inductie, recurenta termen general, aplicatii.

B) exista termenul la matematica.

Teorema lui newton sau binomul lui newton. Pentru orice număr natural , cu , are loc următoarea egalitate N formula (dezvoltarea (dezvoltarea binomului) binomului) lui newton se mai scrie astfel:

Post a Comment for "Binomul Lui Newton Exemple"