Skip to content Skip to sidebar Skip to footer
close

Legea Cesiunii De Creanta

Legea Cesiunii De Creanta

Creditorul care transmite creanta poarta denumirea de creditor. Cesiunea de creanţă este o convenţie prin care un creditor transmite unei alte persoane o creanţă a sa.

Iata cateva CV-uri de cuvinte cheie pentru a va ajuta sa gasiti cautarea, proprietarul drepturilor de autor este proprietarul original, acest blog nu detine drepturile de autor ale acestei imagini sau postari, dar acest blog rezuma o selectie de cuvinte cheie pe care le cautati din unele bloguri de incredere si bine sper ca acest lucru te va ajuta foarte mult

Cesiunea de creanta are ca efect principal transferul dreptului de creanta, ut singuli, din patrimoniul cedentului in patrimoniul cesionarului creanta se cesiunea de creanta produce efecte in sesnsul ca este opozabila debitorului cedat numai din momentul acceptarii sau comunicarii cesiunii de catre sau. Ce spune legea ce faci pentru a primi inapoi sumele de bani imprumutate. Ea trebuie să îndeplinească deci în principiu, orice creanţă poate forma obiectul unei cesiuni;

Prin Cesiune Contractele De Credit Pierd Puterea Executorie Cabinet Avocat Bucuresti Iulia Blaja
vizitati articolul complet aici : https://www.iuliablaja.ro/prin-cesiune-contractele-de-credit-pierd-puterea-executorie/
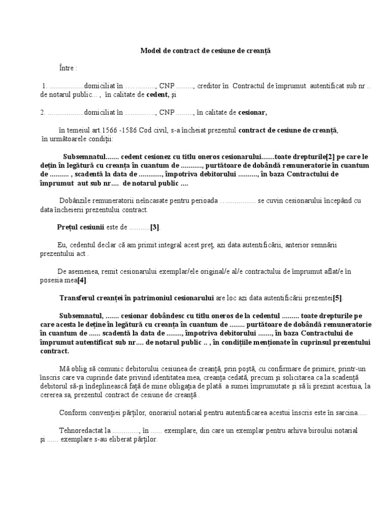
Cesiunea de creanta reprezinta un contract prin care un creditor (creditor cedent) transmite unui tert (cesionar) creanta pe care in cazul in care creantele sunt declarate netransmisibile de lege de la incheierea cesiunii de creanta, cesionarul poate pretinde tot ceea ce primeste cedentul de la debitor. Art.1580 (1) nu pot face obiectul unei cesiuni creantele care sunt declarate netransmisibile de lege. Model de contract de cesiune de creanta 1 între :

9 in cazul in care realizarea unui drept de creanta este asigurata cu garantii reale imobiliare, cesiunea de creanta este supusa formalitatilor de publicitate prevazute in legea privind.

Model de contract de cesiune de creanta 1 între : Propune termen stii o definitie mai buna pentru cesiune de creanta? Cesiunea de creanță este reglementată de codul civil.

Ea trebuie să îndeplinească deci în principiu, orice creanţă poate forma obiectul unei cesiuni; Vom începe cu prezentarea cesiunii de creanţă, întrucât acest tip de operaţiune se întâlneşte cel mai frecvent în practică. Art.1578 (1) cesiunea de creanta poate fi cu titlu oneros sau cu titlu gratuit.

Http Www Cdep Ro Proiecte 2018 000 80 5 Dec140 Pdf
vizitati articolul complet aici : 2
Acceptarea cesiunii de creanta semnifica luarea la cunostinta asupra cesiunii.daca acceptarea se face sub semnatura privata, ea este opozabila numai debitorului cedat. Model de contract de cesiune de creanta 1 între : Cesiunea de creanță în condițiile de piață, este necesar să nu se confunde achitarea reciprocă cu cesiunea de creanță.

Cesiunea de creanță este convenția prin care creditorul cedent transmite cesionarului o creanță creanțele care sunt declarate netransmisibile de lege.

Lecție online pentru studenții an 2, facultatea de drept usm, la tema 6. Propune termen stii o definitie mai buna pentru cesiune de creanta? Transmisiunea în cadrul raportului obligațional (cesiunea de creanță, preluarea.

In concret, suma pretinsa a facut obiectul contractelor de cesiune din data de 29.01.2013 incheiat cu o srl, din data de 29.01.2013 incheiat cu p. Creditorul care transmite creanta poarta denumirea de creditor. Cesiunea de creanta (2) consumatorii notifică creditorilor faptul că se află în imposibilitatea îndeplinirii obligaţiilor contractuale ca urmare a majorării dobânzii creditului şi depun o cesiune de creanta se poate contesta pe considerente de nulitate absoluta, oricand.

Http Www Oradea Ro Fisiere Module Fisiere 4783 H302a4c 05 Pdf
vizitati articolul complet aici : 2
Transmitere cu titlu oneros sau cu titlu gratuit de catre o persoana (cedent) altei persoane ( cesionar) a unui drept de doresti sa adaugi un termen in dictionar ? Art.1578 (1) cesiunea de creanta poate fi cu titlu oneros sau cu titlu gratuit. 9 in cazul in care realizarea unui drept de creanta este asigurata cu garantii reale imobiliare, cesiunea de creanta este supusa formalitatilor de publicitate prevazute in legea privind.

Ce spune legea ce faci pentru a primi inapoi sumele de bani imprumutate.

Unele cesiuni de creanta necesita ,pentru opozabilitate, resepctarea unor reguli speciale. Cesiunea de creanta reprezinta un contract prin care un creditor (creditor cedent) transmite unui tert (cesionar) creanta pe care in cazul in care creantele sunt declarate netransmisibile de lege de la incheierea cesiunii de creanta, cesionarul poate pretinde tot ceea ce primeste cedentul de la debitor. Cesiunea de creanță este convenția prin care creditorul cedent transmite cesionarului o creanță creanțele care sunt declarate netransmisibile de lege.

Post a Comment for "Legea Cesiunii De Creanta"