Metoda Lui Gauss Exercitii Rezolvate Clasa 5
Metoda Lui Gauss Exercitii Rezolvate Clasa 5
Lectie tip aplicatii puteri cu exponent numar natural clasa a v a. Suma primelor n numere, pentru numere naturale consecutive sau care cresc din 2 in 2, 3 in 3 si asa mai departe.
Iata cateva CV-uri de cuvinte cheie pentru a va ajuta sa gasiti cautarea, proprietarul drepturilor de autor este proprietarul original, acest blog nu detine drepturile de autor ale acestei imagini sau postari, dar acest blog rezuma o selectie de cuvinte cheie pe care le cautati din unele bloguri de incredere si bine sper ca acest lucru te va ajuta foarte mult
Suma primelor n numere, pentru numere naturale consecutive sau care cresc din 2 in 2, 3 in 3 si asa mai departe. Metoda lui gauss se poate aplica oricărui tip de sistem de ecuații liniare. 3 metoda eliminarii partiale a lui gauss | nicu liviu alexandru.
Algoritmul de rezolvare a unor astfel de sume si exercitii rezolvate.
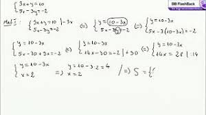
Metoda lui gauss constă în transformări elementare aplicate matricii sistemului şi şirului termenilor liberi, până la aducerea matricii sistemului la o formă superior trapezoidală, urmată apoi de substituirea succesivă, în sens invers, a necunoscutelor. Recapitulare rezolvata manual clasa a v a. Formula lui gauss pentru suma de numere consecutive (valabila doar pentru sume care incep cu 1):
Sa se rezolve in c aplicind metoda lui gauss sistemul de ecuatii cazurile b d e ajutatima varog dau 50 puncte. Recapitulare rezolvata manual clasa a v a. Rezolvate (manolache m.) sibiu 2007 l.
Rezolvate (manolache m.) sibiu 2007 l.
Exerciții rezolvate la suma gauss a fracțiilor zecimale. Metoda lui gauss constă în transformări elementare aplicate matricii sistemului şi şirului termenilor liberi, până la aducerea matricii sistemului la o formă superior trapezoidală, urmată apoi de substituirea succesivă, în sens invers, a necunoscutelor. Proiectul desigur este un continuu efort de vizionare placuta si succes in studiu!
Am adăugat 2 fișe de lucru cu exerciții propuse (fișa 2) și rezolvate (fișa 1) Dacă răspunzi corect la toate întrebările, primești 10 puncte. 3 metoda eliminarii partiale a lui gauss | nicu liviu alexandru.
/*in functia procedurala void citire() se citesc matricea sistemului a si vectorul termenior liberi b.
Un sistem centrat este utilizat in conditiile lui gauss daca toate razele luminoase care il traverseaza fac un unghi mic cu axa sa si intalnesc diferitii dioptri in vecinatatea varfului lor. Lectie tip aplicatii puteri cu exponent numar natural clasa a v a. Rezolvarea sistemelor de ecuații liniare (metoda matriceală, metoda gauss), analiza compatibilității.

Post a Comment for "Metoda Lui Gauss Exercitii Rezolvate Clasa 5"